Pacientes com vasculite associada a ANCA frequentemente evoluem com doença renal terminal, aproximadamente 20-30% em 10 anos. Nos pacientes que evoluem para falência renal, o transplante renal se associa com melhor sobrevida e qualidade de vida quando comparado a diálise, porém a escolha do paciente certo para o transplante renal é essencial para melhores desfechos.
No entanto, com aparecimento dos imunossupressores mais potentes na última década, o que esperar de um transplante renal em um paciente com vasculite ANCA? Confere esse estudo que é uma das maiores casuísticas de pacientes com Vasculite ANCA submetidos a transplante renal!
📚 Referência: Dekervel M, et al. Kidney Int Rep. 2025. [**[link](https://doi.org/10.1016/j.ekir.2025.07.008%20%F0%9F%94%97)**]
**🔬 Estudo retrospectivo multicêntrico**
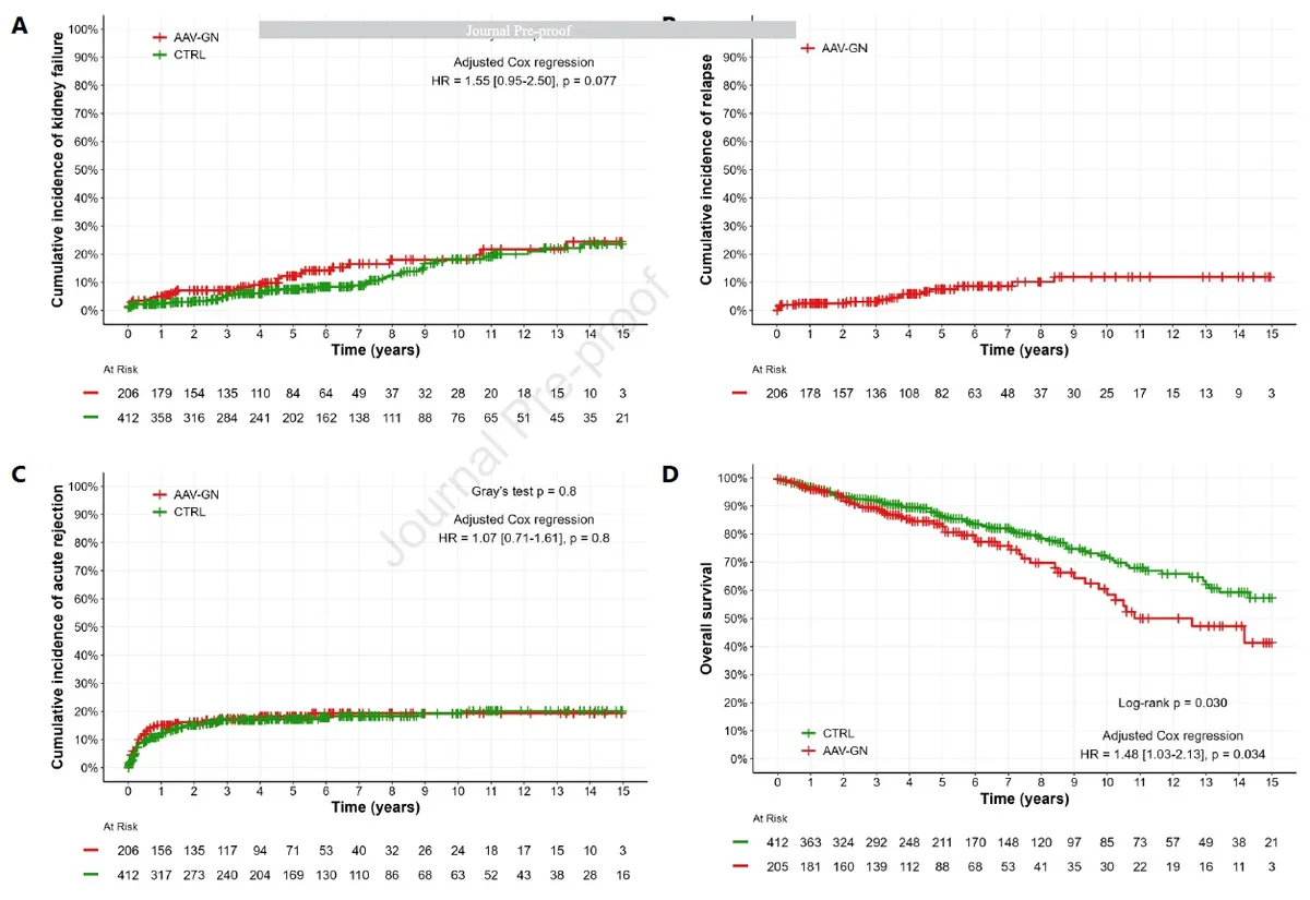
• Incluiu 206 pacientes com AAV-GN e 412 controles pareados (2005–2023, França).
• Desfechos avaliados: função do enxerto, rejeição, recidiva de AAV, falência do enxerto e mortalidade.
**📌 Resultados principais**
• Função renal e incidência de rejeição aguda foram semelhantes entre os grupos.
• Recidivas ocorreram em ~8% dos pacientes com vasculite ANCA, mas nos pacientes que tiveram foi observado um maior perda do enxerto.
• Tendência a uma menor sobrevida do enxerto (HR 1,55; p=0,077) e uma maior mortalidade no grupo vasculite ANCA (HR 1,48; p=0,034).

**🚨 Fatores associados a pior prognóstico**
• Recidiva pós-transplante (HR 3,49) e rejeição (HR 3,87) aumentaram risco de falência do enxerto.
• Uso de azatioprina aumentou risco de rejeição (HR 3,73) e falência do enxerto (HR 3,73).
• Idade do doador e ausência de esteroides na manutenção também foram fatores de risco.
⚠️ Papel do ANCA
• ANCA positivo no transplante associou-se a maior risco de recidiva, mas menor risco de rejeição aguda.
• ANCA no momento do transplante não influenciou sobrevida do paciente ou enxerto.
**✅ Condutas recomendadas**
• Avaliar sistematicamente o ANCA antes do transplante, sem adiar o procedimento com base apenas na positividade.
• Evitar azatioprina na manutenção pós-TX, mesmo em pacientes com histórico de vasculite ANCA.
• Acompanhar pacientes com vasculite ANCA com atenção redobrada ao risco de recidiva no pós-transplante.
📖 **Diretrizes atuais: quando encaminhar o paciente com vasculite ANCA para o transplante?**
• KDIGO recomenda ao menos 6 meses de remissão clínica antes do TX renal.
• No estudo, poucos pacientes foram transplantados antes de 12 meses, o que limita avaliação sobre o melhor timing.
💡 **Conclusão**
• AAV-GN não aumenta risco de rejeição ou recidiva precoce, mas associa-se a maior mortalidade e perda do enxerto a longo prazo.
• Estratégias de manejo pós-transplante devem ser individualizadas e atentas a fatores imunológicos e terapêuticos.